本報記者 張穎
周三(5月10日),A股三大股指震蕩分化,漲跌不一。截至上午收盤,上證指數跌幅達1.40%,報3310.76點;深證成指跌幅達0.35%,創業板指漲幅為0.02%;滬深兩市合計成交額6453.2億元,總體來看,兩市個股跌多漲少。

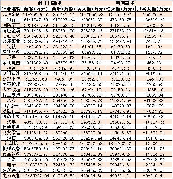
圖片來源:同花順App
從資金面來看,5月10日上午,北向資金凈買入金額達42.89億元。截至5月9日,滬深京三市的兩融余額合計16206.30億元,較前一交易日增加9.05億元。其中,融資余額為15276.68億元,較前一交易日增加14.47億元;融券余額為927.81億元,較前一交易日減少5.42億元。
表:5月9日申萬一級行業兩融交易情況:

制表:張穎
對于后市,業內機構表示,A股市場分歧仍待消化,短線以盤整走勢為主。
國盛證券認為,短線以盤整走勢為主;“中特估”中長線看好,將對指數產生支撐,題材方面切換仍在持續,高位的前期熱門科技股資金流出,低位高景氣的“風光儲”性價比優良,有望承接資金。
東吳證券表示,科創板指數在構筑雙頂后出現連續下跌,這也與芯片股的大幅調整有關,短期看科創板指數已跌至年線附近,超跌的芯片等科技股有反彈預期,可暫持股觀察。今年的主線主要在中特估和AI,后續調整后仍可做關注,尤其是低價、低市盈率、低市凈率的品種,可在調整中做低吸。
熱點方面,截至5月10日上午收盤,汽車制造、通信網絡等板塊漲幅居前。另外,銀行、券商等板塊跌幅居前。
具體看,截至5月10日上午收盤,汽車制造板塊漲幅居首達2.31%。其中,嶸泰股份、香山股份、中通客車等多只概念股集體漲停。

圖片來源:大智慧
對此,光大證券分析認為,可關注板塊短期預期修復機會:1)板塊或已部分反映競爭加劇的悲觀預期,短期或存在新車型上市提振催化,建議關注板塊短期預期修復機會。2)鑒于碳酸鋰價格回落、產業鏈年降、以及規模效應部分對沖主機廠降價導致的業績下修風險,預計整車盈利表現優于零部件。3)看好2023年具有較強車型改善周期、用戶畫像差異化定位競爭的新勢力車企、出口+產業鏈成本控制能力較強+銷量與業績兌現能力較強的自主新能源車企、以及市占率抬升/新定點釋放+年降消化能力強+業務多元化的零部件公司。標的方面,整車推薦理想汽車、長城汽車、比亞迪;零部件推薦福耀玻璃、建議關注嶸泰股份、愛柯迪、旭升股份。
(編輯 白寶玉)
罕見!中國銀行近8年來首次漲停,逾46億元大單資金搶籌銀行股2023-05-08 19:28
震蕩整理!成交額連續21日突破萬億元,資金流向轉變2023-05-05 19:30
| 20:05 | 中國人民銀行開通跨境人民幣捐贈綠... |
| 20:04 | 國家金融監督管理總局:在港中資銀... |
| 20:02 | 國科微終止籌劃重大資產重組 仍將... |
| 12:00 | 商務部將推進汽車流通消費改革試點... |
| 11:59 | 北方股份業績說明會:深耕礦車主業... |
| 11:59 | 半導體領域布局加速 勝科納米全資... |
| 11:59 | 強鏈補鏈構筑成本護城河 紅太陽擬... |
| 11:59 | 湖南黃金控股子公司取得采礦許可證... |
| 11:42 | 中國汽車流通協會名譽會長沈進軍:... |
| 11:41 | 中國農業銀行信用卡中心副總裁佟春... |
| 11:39 | 五一視界境外發行上市獲中國證監會... |
| 11:36 | 第十屆新金融論壇召開 |
版權所有證券日報網
互聯網新聞信息服務許可證 10120180014增值電信業務經營許可證B2-20181903
京公網安備 11010202007567號京ICP備17054264號
證券日報網所載文章、數據僅供參考,使用前務請仔細閱讀法律申明,風險自負。
證券日報社電話:010-83251700網站電話:010-83251800 網站傳真:010-83251801電子郵件:xmtzx@zqrb.net
掃一掃,即可下載
掃一掃,加關注
掃一掃,加關注